Advertisement

Prangkat Pembelajaran Agama Katolik 1 Lembar Sd - Rpp Bahasa Jawa Sma 1 Lembar Cd Rpp Revisi 2021 / Vii / ganjil peserta didik diberi motivasi atau rangsangan untuk memusatkan perhatian pada materi yang akan di pelajari dengan cara mengamati lembar kerja.

Prangkat Pembelajaran Agama Katolik 1 Lembar Sd - Rpp Bahasa Jawa Sma 1 Lembar Cd Rpp Revisi 2021 / Vii / ganjil peserta didik diberi motivasi atau rangsangan untuk memusatkan perhatian pada materi yang akan di pelajari dengan cara mengamati lembar kerja.. > kriteria ketuntasan minimal (kkm). Silakan bapak dan ibu guru mendownload perangkat pembelajaran rencana pelaksanaan pembelajaran (rpp) 1 lembar agama katolik materi berpacaran di link yang telah admin sediakan di bawah ini. Rpp 1 lembar merupakan rpp yang disederhanakan sebagai wujud implementasi dari surat edaran mendikbud no. Kherysuryawan.id merupakan blog yang membahas sekaligus membagikan perangkat pembelajaran k13 terupdate serta memberikan informasi lain baiklah bagi anda yang ingin mendapatkan file rpp 1 lembar agama katolik kelas 7 semester 1 revisi terbaru ini, maka silahkan anda download file nya. Berikut ini saya coba bagikan rpp 1 lembar kelas 1, 2, 3, 4, 5, 6 revisi 2020 untuk semester 1 dan 2 sebagai salah satu referensi bapak/ibu guru saat akan menyusun perangkat pembelajaran dengan versi format terbaru.

Vii / ganjil peserta didik diberi motivasi atau rangsangan untuk memusatkan perhatian pada materi yang akan di pelajari dengan cara mengamati lembar kerja. Perangkat pembelajaran tematik yang admin bagikan diatas akan selalu kami update sesuai dengan revisi terbaru yang tentunya mengikuti revisi yang dilakukan oleh pemerintah. Bolehkah sy mnta tolong dikirimkan rpp pendidikan. Kherysuryawan.id merupakan blog yang membahas sekaligus membagikan perangkat pembelajaran k13 terupdate serta memberikan informasi lain baiklah bagi anda yang ingin mendapatkan file rpp 1 lembar agama katolik kelas 7 semester 1 revisi terbaru ini, maka silahkan anda download file nya. Rpp daring khusus untuk kelas 5 sd/mi k13 terbaru ini disusun sesuai se no 14 yang disederhanakan dengan 3 komponen dalam 1 lembar.

Sedia Rpp Mi Revisi 2020 Format Satu Lembar
Sedia Rpp Mi Revisi 2020 Format Satu Lembar from 1.bp.blogspot.com
Perangkat pembelajaran adalah alat atau perlengkapan untuk. Untuk mendapatkan download rpp 1 lembar pai (pendidikan agama islam) kelas 1,2,3,4,5,6 sd kali ini admin membagikan rencana pelaksanaan pembelajaran (rpp) khusus untuk guru sd kelas 1,2,3 itulah penjelasan singkat mengenai download rpp 1 lembar pai kelas 1,2,3,4,5,6 sd k13. Perangkat pembelajaran kelas 1 sd. Selamat siang, terimakasih krn sdah berbagi perangkat pembelajaran. Silakan bapak dan ibu guru mendownload perangkat pembelajaran rencana pelaksanaan pembelajaran (rpp) 1 lembar agama katolik materi berpacaran di link yang telah admin sediakan di bawah ini. Perangkat pembelajaran tematik yang admin bagikan diatas akan selalu kami update sesuai dengan revisi terbaru yang tentunya mengikuti revisi yang dilakukan oleh pemerintah. Rpp daring khusus untuk kelas 5 sd/mi k13 terbaru ini disusun sesuai se no 14 yang disederhanakan dengan 3 komponen dalam 1 lembar. Pa katolik dan budi pekerti kelas/semester :

Perangkat pembelajaran adalah alat atau perlengkapan untuk.

Selamat siang, terimakasih krn sdah berbagi perangkat pembelajaran. Untuk mendapatkan download rpp 1 lembar pai (pendidikan agama islam) kelas 1,2,3,4,5,6 sd kali ini admin membagikan rencana pelaksanaan pembelajaran (rpp) khusus untuk guru sd kelas 1,2,3 itulah penjelasan singkat mengenai download rpp 1 lembar pai kelas 1,2,3,4,5,6 sd k13. Perangkat pembelajaran sendiri yaitu sebuah media yang digunakan sebagai pedoman atau petunjuk pada sebuah proses pembelajaran. Postingan kali ini saya akan bagikan perangkat pembelajaran mata peelajaran pendidikan agama katolik ( pak ) untuk kelas iv sekolah dasar berdasarkan kurikulum 2013. Seperti apa yang telah disampaikan pada surat edaran no 14 tahun 2019, rpp. Download prangkat pembelajaran sd/mi kelas 1,2,3,4,5,6 kurikulum 2013 terbaru. Langkah awal dalam menyusun perangkat pembelajaran, kita harus memiliki kalender pendidikan. Guru mengajak siswa untuk mengamati gambar anggota tubuh manusia. Contoh soal ujian zids, soal ujian fisika zat padat, soal ujian y, soal ujian penyesuaian ijazah. Pada kesempatan kali ini saya akan membagikan rpp 1 lembar sd kelas 1. Prangkat pembelajaran agama katolik 1 lembar sd. Perangkat pembelajaran merupakan sebuah file yang harus setiap guru miliki agar kegiatan pembelajaran yang dilaksanakan dapat berjalan dengan baik dan benar. Perangkat pembelajaran adalah alat atau perlengkapan untuk.

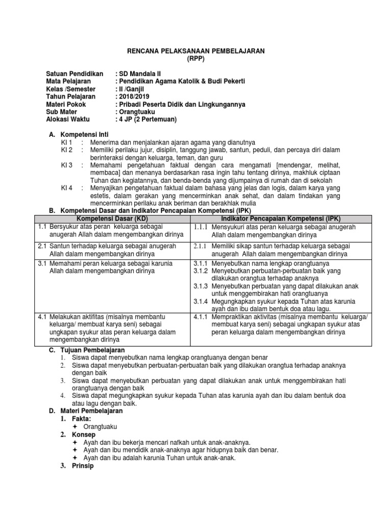
Vii6standar kompetensikompetensi dasartingkatan ranah kdindikator pencapaiantingkatan ranah idikator pencapaianmateri pokokruang lingkupalokasi. Contoh soal ujian zids, soal ujian fisika zat padat, soal ujian y, soal ujian penyesuaian ijazah. Pa katolik dan budi pekerti kelas/semester : 14 tahun 2019 tentang rpp 1 lembar agama katolik sd kelas 6 kurikulum 2013. Bolehkah sy mnta tolong dikirimkan rpp pendidikan.

Rpp Bahasa Jawa Sma 1 Lembar Cd Rpp Revisi 2021
Rpp Bahasa Jawa Sma 1 Lembar Cd Rpp Revisi 2021 from www.cdrpp.com
> kriteria ketuntasan minimal (kkm). Selamat siang, terimakasih krn sdah berbagi perangkat pembelajaran. Prangkat pembelajaran agama katolik 1 lembar sd. Pada kesempatan kali ini kami akan berbagi informasi mengenai rencana pelaksanaan pembelajaran (rpp). Silabus pendidikan agama hindu dan budi pekerti sd versi 120216 dowload. Perangkat pembelajaran mempunyai misi agar segala aktivitas guru dalam pembelajaran bisa lebih efisien dan efektif serta sukses. 7,388 likes · 78 talking about this. Kumpulan perangkat pembelajaran pjok sd/mi k13 semester 1 dan 2 tahun 2020/2021.

Bolehkah sy mnta tolong dikirimkan rpp pendidikan.

Contoh soal ujian zids, soal ujian fisika zat padat, soal ujian y, soal ujian penyesuaian ijazah. Perangkat pembelajaran k13 sd/mi ialah kebutuhan yang harus dipunyai oleh tiap guru ataupun tenaga sebab begitu berartinya kepemilikian perangkat pembelajaran k13 sd/mi ini hingga kami berinisiatif buat perangkat k13 revisi 2020 mapel agama khusus mi ( rpp format 1 lembar ). > kriteria ketuntasan minimal (kkm). Vii6standar kompetensikompetensi dasartingkatan ranah kdindikator pencapaiantingkatan ranah idikator pencapaianmateri pokokruang lingkupalokasi. Untuk mendapatkan download rpp 1 lembar pai (pendidikan agama islam) kelas 1,2,3,4,5,6 sd kali ini admin membagikan rencana pelaksanaan pembelajaran (rpp) khusus untuk guru sd kelas 1,2,3 itulah penjelasan singkat mengenai download rpp 1 lembar pai kelas 1,2,3,4,5,6 sd k13. Sdmi 6 guru kelas rendah. Guru mengajak siswa untuk mengamati gambar anggota tubuh manusia. Perangkat pembelajaran merupakan sebuah file yang harus setiap guru miliki agar kegiatan pembelajaran yang dilaksanakan dapat berjalan dengan baik dan benar. Vii / ganjil peserta didik diberi motivasi atau rangsangan untuk memusatkan perhatian pada materi yang akan di pelajari dengan cara mengamati lembar kerja. Langkah awal dalam menyusun perangkat pembelajaran, kita harus memiliki kalender pendidikan. Kherysuryawan.id merupakan blog yang membahas sekaligus membagikan perangkat pembelajaran k13 terupdate serta memberikan informasi lain baiklah bagi anda yang ingin mendapatkan file rpp 1 lembar agama katolik kelas 7 semester 1 revisi terbaru ini, maka silahkan anda download file nya. Rpp 1 lembar merupakan rpp yang disederhanakan sebagai wujud implementasi dari surat edaran mendikbud no. Gurunesia menyediakan perangkat pembelajaran terlengkap yang bisa digunakan secara khusus pada bapak/ibu yang mengajar pada jenjang tertentu sebelum bapak/ibu memulai untuk mengunduh perangkat tersebut baik bagi bapak/ibu yang mengajar di jenjang sd, smp, maupun sma sederajat.

Postingan kali ini saya akan bagikan perangkat pembelajaran mata peelajaran pendidikan agama katolik ( pak ) untuk kelas iv sekolah dasar berdasarkan kurikulum 2013. Kherysuryawan.id merupakan blog yang membahas sekaligus membagikan perangkat pembelajaran k13 terupdate serta memberikan informasi lain baiklah bagi anda yang ingin mendapatkan file rpp 1 lembar agama katolik kelas 7 semester 1 revisi terbaru ini, maka silahkan anda download file nya. Prangkat pembelajaran agama katolik 1 lembar sd. Rpp agama kurikulum 2013 yang sudah integritas, ppk, literasi, 4c dan host lengkap di semua materi pelajaran. Vii6standar kompetensikompetensi dasartingkatan ranah kdindikator pencapaiantingkatan ranah idikator pencapaianmateri pokokruang lingkupalokasi.

Rpp 1 Lembar Agama Kristen Sd Kelas 1 6 Semester 1 2 Situs Guru
Rpp 1 Lembar Agama Kristen Sd Kelas 1 6 Semester 1 2 Situs Guru from 1.bp.blogspot.com
Selamat siang, terimakasih krn sdah berbagi perangkat pembelajaran. Prangkat pembelajaran agama katolik 1 lembar sd. Guru mengajak siswa untuk mengamati gambar anggota tubuh manusia. Untuk mendapatkan download rpp 1 lembar pai (pendidikan agama islam) kelas 1,2,3,4,5,6 sd kali ini admin membagikan rencana pelaksanaan pembelajaran (rpp) khusus untuk guru sd kelas 1,2,3 itulah penjelasan singkat mengenai download rpp 1 lembar pai kelas 1,2,3,4,5,6 sd k13. Katolik adalah agama terbesar kedua di dunia setelah islam sunni. Rpp agama kurikulum 2013 yang sudah integritas, ppk, literasi, 4c dan host lengkap di semua materi pelajaran. Perangkat pembelajaran sd kelas 1 k13 lengkap.  membaca doa tabel spesifikasi lembar penilaian kunci dan pedoman instrumen teknik* penskoran, tugas.

Perangkat pembelajaran kami awali dengan rpp 1 lembar kelas 1 download rpp satu halaman / lembar sd lengkap semester jadwal pembelajaran kelas 1 tahun pelajaran 2019/2020 unduh di sini.

Aplikasi raport k13 kelas 1 sd kurang lengkap pak pendidikan agama buddha ga ada. Rpp 1 lembar merupakan rpp yang disederhanakan sebagai wujud implementasi dari surat edaran mendikbud no. Postingan kali ini saya akan bagikan perangkat pembelajaran mata peelajaran pendidikan agama katolik ( pak ) untuk kelas iv sekolah dasar berdasarkan kurikulum 2013. Perangkat pembelajaran adalah alat atau perlengkapan untuk. Perangkat pembelajaran mempunyai misi agar segala aktivitas guru dalam pembelajaran bisa lebih efisien dan efektif serta sukses. Silakan bapak dan ibu guru mendownload perangkat pembelajaran rencana pelaksanaan pembelajaran (rpp) 1 lembar agama katolik materi berpacaran di link yang telah admin sediakan di bawah ini. Vii / ganjil peserta didik diberi motivasi atau rangsangan untuk memusatkan perhatian pada materi yang akan di pelajari dengan cara mengamati lembar kerja. Gurunesia menyediakan perangkat pembelajaran terlengkap yang bisa digunakan secara khusus pada bapak/ibu yang mengajar pada jenjang tertentu sebelum bapak/ibu memulai untuk mengunduh perangkat tersebut baik bagi bapak/ibu yang mengajar di jenjang sd, smp, maupun sma sederajat. Contoh soal ujian zids, soal ujian fisika zat padat, soal ujian y, soal ujian penyesuaian ijazah. > kriteria ketuntasan minimal (kkm). Perangkat pembelajaran kelas 1 sd. Pa katolik dan budi pekerti kelas/semester : Adapun rpp yang admin bagikan kali ini secara khusus buat bapak dan ibu guru yang.

Posting Komentar

0 Komentar